TS POLYCET 2017 SET B Question paper: The unofficial question paper of TS POLYCET 2017 Set B with answer key pdf is available in this article. The exam was conducted on April 24, 2017 in the Forenoon Session 11 AM to 1 PM. The exam was successfully organized by State Board of Technical Education and Training. The question paper comprised a total of 120 questions.
TS POLYCET 2017 SET B Question Paper with Answer Key PDFs Forenoon Session (Unofficial)
| TS POLYCET 2017 SET B Question Paper PDF | TS POLYCET 2017 SET B Answer Key PDF |
|---|---|
| Download PDF | Download PDF |
TS POLYCET Previous Year Question Papers
| TS POLYCET 2019 Question Papers | TS POLYCET 2018 Question Papers |
| TS POLYCET 2017 Question Papers | TS POLYCET 2016 Question Papers |



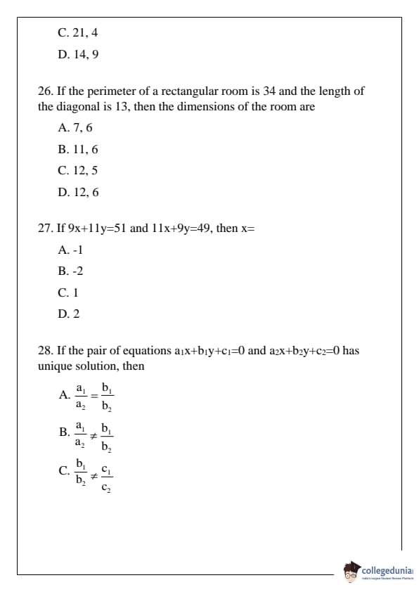
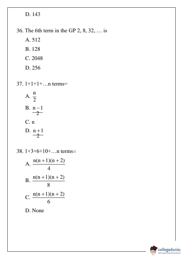
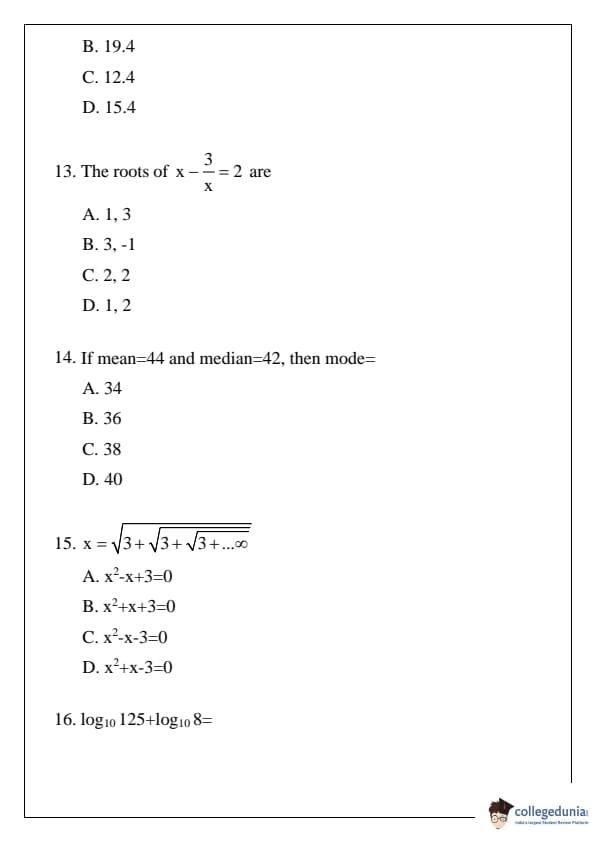
Comments