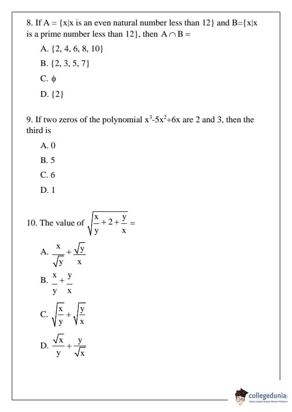
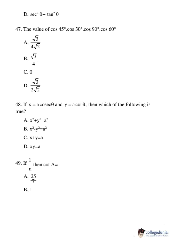
TS POLYCET 2016 SET A Question paper: The unofficial question paper of TS POLYCET 2016 SET A with answer key pdf is available in this article. The exam was conducted on April 21, 2016 in Forenoon Session. The exam was successfully organized by the State Board of Technical Education and Training. The question paper comprised a total of 120 questions.
TS POLYCET 2016 SET A Question Paper with Answer Key PDFs Forenoon Session (Unofficial)
| TS POLYCET 2016 SET A Question Paper PDF | TS POLYCET 2016 SET A Answer Key PDF |
|---|---|
| Download PDF | Download PDF |
TS POLYCET Previous Year Question Papers
| TS POLYCET 2019 Question Papers | TS POLYCET 2018 Question Papers |
| TS POLYCET 2017 Question Papers | TS POLYCET 2016 Question Papers |



Comments