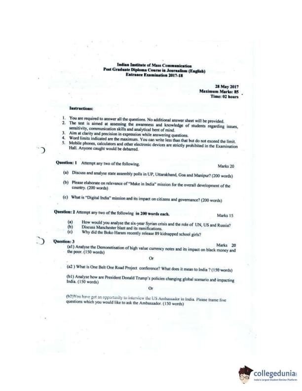
IIMC 2017 PG Diploma in English Question paper with answer key pdf conducted on May 28, 2017 in Forenoon Session (9 AM to 11 AM) is available for download. The exam was successfully organized by Indian Institute of Mass Communication. The question paper comprised a total of 5 questions.
IIMC 2017 PG Diploma in English Question Paper with Answer Key PDFs Forenoon Session
| IIMC 2017 PG Diploma in English Question Paper PDF | IIMC 2017 PG Diploma in English Answer Key PDF |
|---|---|
| Download PDF | Available Soon |





Comments