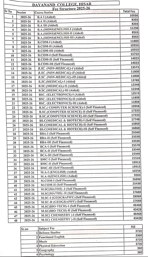
BA Mass Communication at Dayanand College Hisar is a 3 Years Degree. The course is offered On Campus as a Full Time program. Dayanand College Hisar BA Mass Communication First Year Fees is INR 21,518 for 2025.
Dayanand College Hisar offers a total of 60 seats for BA Mass Communication. Candidates must have at least 10+2 to be eligible for admissions.
| Fees (2025 - 2026) | Year 1 (in INR) | Year 2 (in INR) | Year 3 (in INR) |
|---|---|---|---|
| Tuition Fees | 21518 | 19913 | 19913 |
| Yearly Fees | 21518 | 19913 | 19913 |
* Fees is refundable
| Fees | Year 1 (in INR) | Year 2 (in INR) | Year 3 (in INR) |
|---|---|---|---|
| Tuition Fees | 18575 | 18575 | 18575 |
| Yearly Fees | 18575 | 18575 | 18575 |
* Fees is refundable
The minimum eligibility for admission to BA Mass Communication at Dayanand College Hisar is 10+2.
Also Check:
| Course Highlights | Details |
|---|---|
| duration | 3 Years (Full Time) |
| course level | UG (Degree) |
| mode of study | On Campus |
| total fees | ₹ 61,344 |
| eligibility | 10+2 |
| Fee Type | Total Amount (INR) |
|---|---|
| tuition fee | ₹61,344 |
| total fee | ₹61,344 |

Search from 20K+ Courses and 35+ Streams
.jpeg?h=78&w=78&mode=stretch)














Comments