The college boasts highly qualified and supportive faculty who assist students through interactive learning activities and career guidance. Facilities include smart ITC labs, well-equipped laboratories, and a music room. Students can participate in career programs and seminars to stay updated on job opportunities in both public and private sectors. Placement opportunities are available for students in their sixth semester, with notable recruiters from private banks and companies offering packages up to 9 lakhs.
However, only about 10% of students secure placements. For those not placed, the college collaborates with EKARMA INDIA to provide skill development in areas like graphic designing and digital marketing. Internships, particularly in biotech fields, are available with organizations such as Rapture and Edufabrica. Research programs for current and alumni students enhance practical knowledge. Financial assistance and scholarships, especially for SC, ST, and EWS categories, help with tuition fees reimbursement.
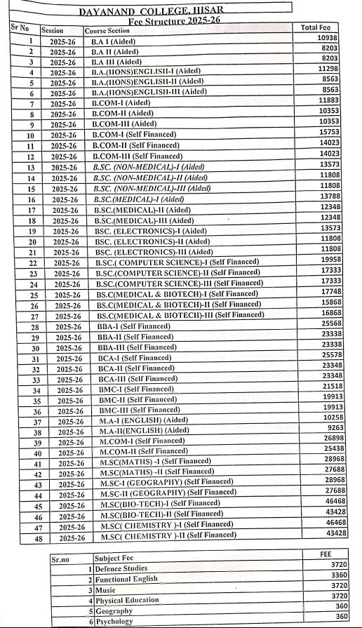
Course fees vary: Biotechnology is the highest at around 15,000 INR per year, B.Sc. courses range from 10,000 to 16,000 INR, and B.A. courses from 6,000 to 7,000 INR per year. A 3-year B.Sc. Biotechnology program costs about 45,000 INR. Payment is flexible, with options for yearly or semester-wise payments, and fee hikes are minimal and communicated in advance. There are no campus jobs, but placement services support eligible students.
The college also offers a single child scheme and financial rewards for competition winners.








![Chaudhary Charan Singh Haryana Agricultural University - [CCSHAU]](https://image-static.collegedunia.com/public/college_data/images/appImage/15078979101443445475CCSHAUNEW.jpg?h=111.44&w=263&mode=stretch)

![Om Sterling Global University - [OSGU]](https://image-static.collegedunia.com/public/college_data/images/appImage/1619455614Cover.jpg?h=111.44&w=263&mode=stretch)





![Indira Gandhi University - [IGU]](https://image-static.collegedunia.com/public/college_data/images/appImage/1498649647cvr.png?h=111.44&w=263&mode=stretch)














![Chaudhary Devi Lal University - [CDLU]](https://image-static.collegedunia.com/public/college_data/images/logos/15051293691463051913logo1.png?h=72&w=72&mode=stretch)
![Shanti Niketan College of Engineering - [SNCOE]](https://image-static.collegedunia.com/public/college_data/images/logos/1419338687Shanti_Niketan123.jpg?h=72&w=72&mode=stretch)

![Fateh Chand College For Women - [FCC]](https://image-static.collegedunia.com/public/college_data/images/logos/1470291344Untitled.1 png.png?h=72&w=72&mode=stretch)
![Prannath Parnami Institute of Management and Technology -[PPIMT]](https://image-static.collegedunia.com/public/college_data/images/logos/1394775910Prannath Parnami Institute of Management and Technology.png?h=72&w=72&mode=stretch)




![Guru Jambheshwar University of Science and Technology - [GJUS&T]](https://image-static.collegedunia.com/public/college_data/images/logos/1394876013Guru Jambheshwar University of Science and Technology.png?h=72&w=72&mode=stretch)

![Om Sterling Global University - [OSGU]](https://image-static.collegedunia.com/public/college_data/images/logos/16197626471619455569Logo.jpg?h=72&w=72&mode=stretch)





Comments