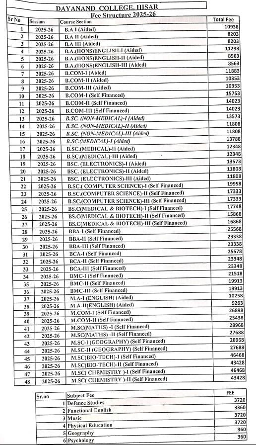
Admission to the college is determined by 12th-grade marks, with a process that includes application submission and merit list announcements. Candidates on the merit list are admitted, requiring identity-related documents and mark sheets from both 10th and 12th grades. The college offers a Bachelor of Arts (B.A.) program with a fee of 7,800 rupees for the first year, 7,850 rupees for the second year, and 7,900 rupees for the third year, totaling around 23,000 INR for the complete course.
The annual fee is approximately 8,000 INR, and there has been no fee increase since enrollment. The college has a strong academic record with many students achieving over 90% in their exams. A scholarship named Dr. Bhim Rao Ambedker supports SC and OBC category students from economically disadvantaged backgrounds. Although the college maintains a reasonable fee structure, it does not offer placements, internships, or articling opportunities, leading many students to seek further education to improve their job prospects.
Faculty members are committed, attending classes regularly and engaging students with 35-minute lectures. Attendance is closely monitored to ensure student participation.












![Chaudhary Charan Singh Haryana Agricultural University - [CCSHAU]](https://image-static.collegedunia.com/public/college_data/images/appImage/15078979101443445475CCSHAUNEW.jpg?h=111.44&w=263&mode=stretch)

![Om Sterling Global University - [OSGU]](https://image-static.collegedunia.com/public/college_data/images/appImage/1619455614Cover.jpg?h=111.44&w=263&mode=stretch)





![Indira Gandhi University - [IGU]](https://image-static.collegedunia.com/public/college_data/images/appImage/1498649647cvr.png?h=111.44&w=263&mode=stretch)


















![Fateh Chand College For Women - [FCC]](https://image-static.collegedunia.com/public/college_data/images/logos/1470291344Untitled.1 png.png?h=72&w=72&mode=stretch)
![Chaudhary Devi Lal University - [CDLU]](https://image-static.collegedunia.com/public/college_data/images/logos/15051293691463051913logo1.png?h=72&w=72&mode=stretch)


![Om Sterling Global University - [OSGU]](https://image-static.collegedunia.com/public/college_data/images/logos/16197626471619455569Logo.jpg?h=72&w=72&mode=stretch)

![Prannath Parnami Institute of Management and Technology -[PPIMT]](https://image-static.collegedunia.com/public/college_data/images/logos/1394775910Prannath Parnami Institute of Management and Technology.png?h=72&w=72&mode=stretch)
![Shanti Niketan College of Engineering - [SNCOE]](https://image-static.collegedunia.com/public/college_data/images/logos/1419338687Shanti_Niketan123.jpg?h=72&w=72&mode=stretch)

![Guru Jambheshwar University of Science and Technology - [GJUS&T]](https://image-static.collegedunia.com/public/college_data/images/logos/1394876013Guru Jambheshwar University of Science and Technology.png?h=72&w=72&mode=stretch)



Comments