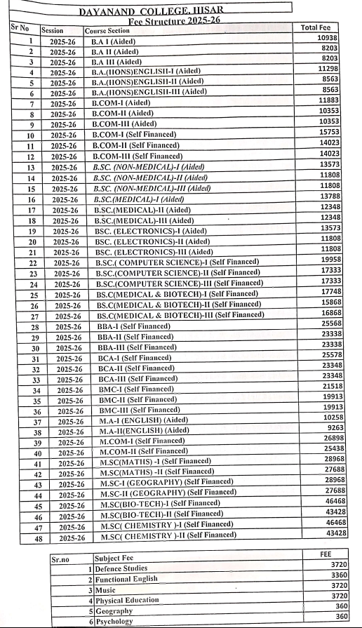
The college's admission process involves purchasing a prospectus and form, filling it with necessary details, and submitting it for merit-based selection. The faculty is a mix of experienced and average members, providing varied levels of academic guidance. While the exam system is competitive and practical, student-faculty interaction could improve due to poor class management. The fee structure is balanced, with first-year fees around Rs 22,000, decreasing to Rs 18,000 and Rs 16,000 for subsequent years, plus a Rs 4,000 admission fee, which includes a refundable security deposit.
The BBA course has notably higher fees, starting at approximately Rs 21,240 to Rs 22,830 for the first year, and around Rs 20,830 for the following years. The college facilitates postgraduate placements with companies like Accenture, Infosys, and TCS, but lacks undergraduate internship opportunities. The training and placement cell is active but hampered by insufficient infrastructure. Scholarships are offered to outstanding students, with the potential for full course coverage. The college does not provide additional tuition or lab facilities, and the curriculum requires improvement.
Overall, dedicated students can succeed academically, but enhancements in infrastructure, curriculum, and faculty recruitment are needed.






.jpeg?h=78&w=78&mode=stretch)




















.jpeg?h=72&w=72&mode=stretch)






















Comments