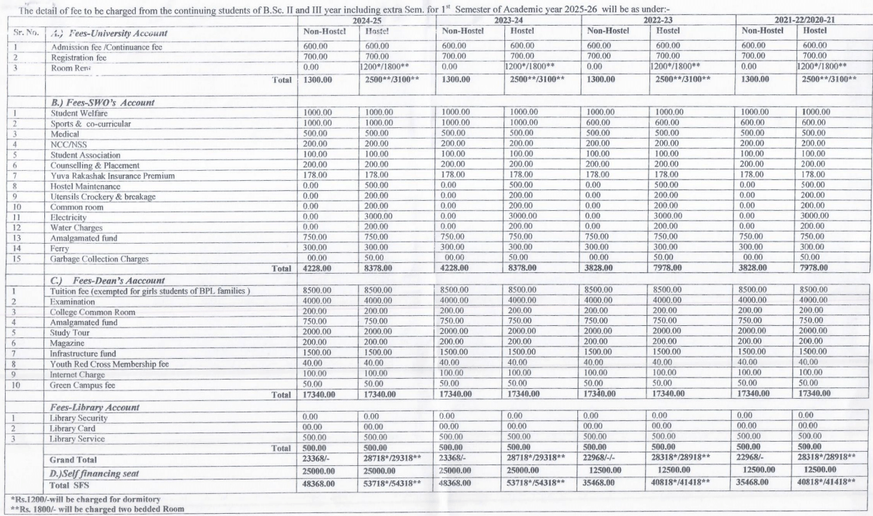
College of Basic Sciences Palampur B.Sc Physical Sciences fees 2025 is ₹ 73,704 for the entire course duration.
- This includes a total tuition fee of ₹ 25,500, Caution Fees of ₹ 1,500, Other Fees of ₹ 34,704.
- Candidates need to pay ₹ 26,968 in the first year.
Earlier, B.Sc Physical Sciences fees at College of Basic Sciences Palampur was ₹ 1.53 Lakhs (in 2019) for the entire course duration. This shows a fee decrease of ₹ 79,124 over the year.

![College of Basic Sciences - [COBS]](public/college_data/images/logos/col6579.jpg)





.jpeg?h=78&w=78&mode=stretch)











.png?h=42.55&w=42.98&mode=stretch)


.jpeg?h=72&w=72&mode=stretch)











.png?h=72&w=72&mode=stretch)








Comments