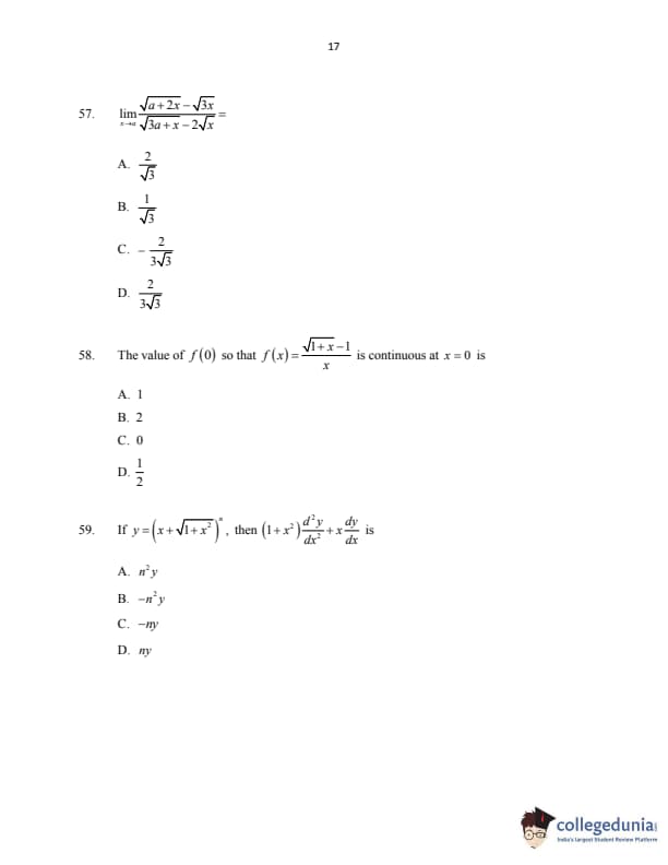
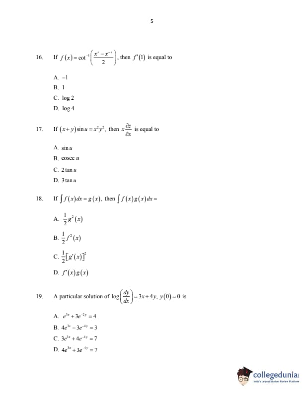
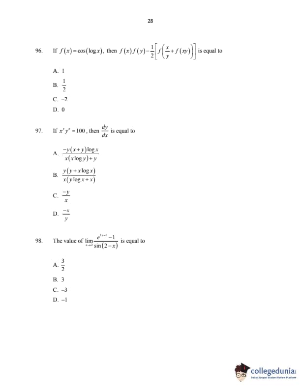
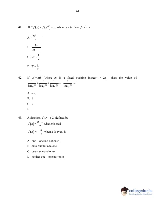
CUSAT CAT 2016 B.Tech LE Question paper with answer key pdf is available for download. The exam was successfully organized by Cochin University of Science & Technology. The question paper comprised a total of 250 questions.
CUSAT CAT 2016 B.Tech LE Question Paper with Answer Key PDFs
| CUSAT CAT 2016 B.Tech LE Question Paper PDF | CUSAT CAT 2016 B.Tech LE Answer Key PDF |
|---|---|
| Download PDF | Available Soon |



Comments